138-7150-3845
新生纪测试服务—孔隙度和渗透率测试
发表于:2025-07-16

新生纪测试服务—孔隙度和渗透率测试


岩石的孔隙度与渗透率是衡量其储集和渗流能力的关键物性参数,直接决定油气资源的赋存状态与开发潜力。孔隙度反映岩石储存流体的空间容量,渗透率表征流体在岩石中运移的难易程度,二者共同构成评估储层质量的核心指标。通过科学方法测定柱塞样品的孔隙度与渗透率,可揭示其微观结构特征与宏观渗流规律,反映岩石储集容量及流体流动难易程度,为资源勘探开发方案制定、工程措施优化及地质模型构建提供基础依据。


孔隙度测试

检测原理

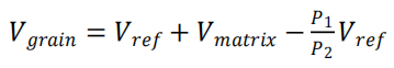
孔隙度测试原理为波义耳定理,理论公式为:

P1V1=P2V2

颗粒体积计算公式为:

图片

式中:

P1:参比室中的压力,MPa;

Verf:参比室体积;

P2:氦气扩散进岩心杯后的压力,MPa;

Vmatrix:岩心杯体积,mL;

Vgrain:样品颗粒体积,mL;

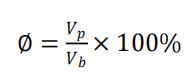
利用游标卡尺测量样品直径和体积即可计算出样品总体积,孔隙体积就等于总体积减去颗粒体积。所以孔隙度计算公式为:

图片

其中:

Vp:孔隙体积,cm3;

Vb:岩石总体积,cm3。

检测仪器

图片

图1 PHI-220 氦气孔隙度仪

检测流程

1. 样品准备

选取具有代表性的岩石样品,加工成规则形状(如柱塞样),测量其长度、直径等参数,计算总体积(或通过排水法直接测定)。

对样品进行清洗、干燥,去除表面杂质及孔隙中残留的流体,避免干扰测量。

2. 孔隙体积测定

利用波义耳定律,将样品置于已知体积的容器中,通入定量气体,通过初始与平衡状态的压力、体积变化,计算孔隙体积。

3. 计算孔隙度

根据孔隙度计算公式,代入测量数据计算得到孔隙度数值。

4. 数据校验

重复测试以减少误差,确保结果的准确性与可靠性。

结果展示

图片


渗透率测试

检测原理

稳态法:适合中高渗岩性,如砂岩、砾岩等渗透性较好的岩石通过在岩心两端施加稳定的压力差,使流体(液体或气体)以稳定流量通过岩心,根据达西定律计算渗透率,计算公式为:

图片

其中:

K:渗透率,mD;

Patm:大气压,atm;

μ:气体粘度,mPa·s;

P1:进口压力,atm;

P2:进口压力,atm;

Qa:流速,mL/min;

A:截面积,cm2;

L:长度,cm。

脉冲法:适用于低渗透岩心,如页岩、泥岩、致密砂岩等向岩心一端瞬间施加一个压力脉冲,记录压力随时间在岩心两端的衰减过程,通过压力衰减曲线计算渗透率,无需稳定流量。

检测仪器

图片

图2 岩心公司CAT-112渗透率仪(稳态法)

PDP-200 压力脉冲超低渗透率仪

图3 PDP-200 压力脉冲超低渗透率仪(脉冲法)


检测流程

稳态法

1. 样品准备

选取代表性岩石样品,加工成标准柱塞状(或规则形状),测量长度、直径等参数,计算横截面积。

对样品进行清洗、干燥,去除孔隙中的杂质和流体,必要时进行抽真空处理,确保孔隙畅通。

2. 实验装置连接

将样品装入岩心夹持器,密封固定,确保流体仅沿轴向通过样品(避免旁漏)。连接驱替系统(如恒压/恒流泵)、压力传感器、流量计量装置等,形成封闭流路。

3. 渗透率测定

通入实验流体(如氮气),通过调节驱替压力,使流体稳定流过样品。待流量和进出口压力稳定后,记录进口压力、出口压力(通常为大气压)、流体流量及实验温度。

4. 计算渗透率

根据达西定律,代入测量数据计算渗透率。

脉冲法

1.样品准备

同稳态法,岩心需完全饱和流体(通常为液体,如煤油)

2.实验装置连接

岩心两端连接储液器,一端为脉冲端(可快速加压),另一端为参考端(体积已知),系统密封并排除气泡。

3.施加脉冲

通过快速开启阀门向脉冲端施加压力脉冲(使压力瞬间升高),关闭阀门后,记录两端压力随时间的变化曲线(通常需数分钟至数天,低渗透岩心耗时更长)。

4.计算渗透率

根据压力衰减方程(基于扩散理论),结合岩心尺寸、流体黏度、储液器体积等参数计算渗透率。

结果展示

图片

在线咨询 咨询电话
138-7150-3845
微信订阅号
微信服务号
返回顶部