138-7150-3845
返回列表
文献分享|页岩干酪根分子结构与演化机制:来自热模拟和光谱分析的启示
发表于:2025-07-01


文献分享


2025.07.01 第一期

武汉市新生纪科技有限公司


文章题目

Molecular structure and evolution mechanism of shale kerogen: Insights from thermal simulation and spectroscopic analysis(页岩干酪根分子结构与演化机制:来自热模拟和光谱分析的启示)


发表期刊

Journal of Analytical and Applied Pyrolysis


发表年份

2024


第一作者

Zhikai Liang


通讯作者

Muhammad Arif

(muhammad.arif@ku.ac.ae (M. Arif))


DOI号

https://doi.org/10.1016/j.jaap.2024.106648



推荐理由


在热演化过程中,页岩地层中的干酪根发生了显著的化学、结构和组成变化,不断影响着页岩的储集能力、生烃潜力和天然气赋存状态。该研究利用热液实验系统研究了420~850℃期间龙马溪页岩干酪根热演化过程中的化学结构变化。此外,利用傅立叶变换红外光谱(FTIR)、拉曼光谱(Raman)、高分辨率透射电子显微镜(HRTEM)、X射线衍射(XRD)和固体13C核磁共振(13C NMR)等表征技术,系统地研究了干酪根结构及其演化模式,精准揭示其大分子碳骨架组成,详细阐明热成熟度不同阶段干酪根结构演变规律研究成果不仅为页岩干酪根热演化机制提供全新视角,更对提升页岩储层认知、助力页岩气勘探开发具有关键指导意义,值得相关领域研究者关注阅读。

图片


实验方法及测试项目



分离干酪根热模拟实验


对含碳页岩进行了干酪根分离实验。采用40% HF、6 mol/L HCl、0.5 mol/L NaOH、无砷锌颗粒等试剂处理富有机质页岩,溶解石英、粘土矿物、长石和黄铁矿。采用四氯化碳等有机溶剂溶解页岩中的沥青,产生干酪根颗粒。采用金-石英管热解体系合成不同成熟度的干酪根样品,热解温度设定采用Easy% Ro模型。


结构表征


有机地球化学分析:测定龙马溪组页岩总有机碳(TOC)含量(LECO CS-230分析仪)。


HRTEM:检测5B~92U元素(高分辨率Tecnai G2 F20场发射透射电镜),使用Digital Micrograph和Image J对获得的TEM图像进行进一步处理,通过锐化、降噪、比例校正、着色和使用Mathews方法分析颗粒等任务来提高清晰度。

图片

图1 不同温度下干酪根样品的TEM伪彩色芳香条纹图


固体13C核磁共振(Solid 13C NMR):揭示碳氢键之间的内在关联(布鲁克先进III 400光谱仪)。

图片

图2 (a)固体碳中与核磁共振化学位移相对应的结构归属;(b) 不同温度下干酪根样品的13C核磁共振谱


拉曼试验(Raman experiment):评估不同热模拟条件下干酪根的成熟度(徕卡50x物镜的拉曼光谱仪)。

图片

图3 龙马溪组干酪根样品在不同热模拟温度下的激光拉曼光谱


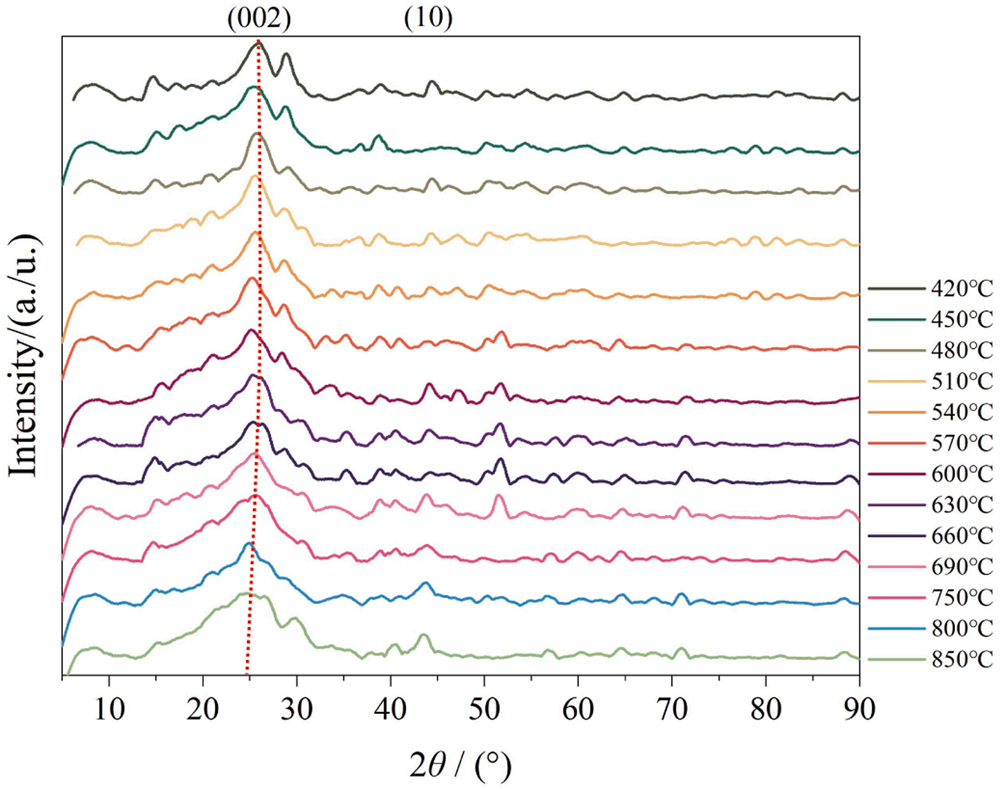
X射线衍射(XRD):通过26°(002)和45°(10)处的衍射峰分别反映芳香层堆叠情况和平均尺寸。采用Cu Kα X射线辐射的Bruker D8 DISCOVER衍射仪。干酪根样品磨至100目。

图片

 图4 不同热模拟干酪根样品的X射线衍射谱图


傅里叶变换红外光谱(FTIR):计算了多项红外光谱参数,包括缩合度(DOC)、脂肪链长度(A(CH2)/A(CH3))和芳香度(I)(Thermo Scientific Nicolet iS50光谱仪)。

图片

图5 随温度变化的干酪根样品红外光谱图



主要结论


干酪根组成特征

龙马溪组干酪根由具有芳香结构和有限官能团的碳骨架组成。芳烃包括萘、蒽、菲以及2×2和3×3单位。脂肪族含有短链烷基。随着成熟度的增加,芳香结构垂直排列,水平连接。在2.58%的成熟度,超过60%是定向对齐的。5~10个Å环的比例在热成熟度从1.8%增加到3.2%时达到20.45%,50个Å以上环的比例从3%迅速增加到15%以上。

干酪根热演化规律

在热演化的初始阶段,干酪根结构中的类石墨微晶表现出横向生长的趋势。在2.0%的成熟度水平上,平均横向尺寸(La)显著增加。在热演化的后续阶段,微晶(Lc)的堆积速率显著增加。芳香结构逐渐排列,产生类似芳香单位的结构排列和积累。同时,相应的层间距离减小到0.355 nm。在成熟晚期(高过),干酪根结构表现出类似石墨晶体的结构。

脂肪链、芳香结构和含氧官能团的规律性变化

在热发育过程中:长链脂肪族结构在热成熟初期迅速减少,释放苯环、萘环和2×2芳香环。随之而来的是脂肪族的分裂和小芳香环的形成显著减少。从高到过成熟,在第一阶段(1.9~2.4 %),含氧官能团与芳烃分离,使原子H/C比增加。第二阶段(2.4~3.5%)芳香族结构变化导致缩合反应。第三阶段(超过3.5%)是芳香环的持续聚集,芳香结构的长度增加。

图片

图6 有机质热演化过程中干酪根芳香环、脂肪族和含氧官能团的演化机制



附:本公司检测项目一览表


图片


若有测试需求

欢迎与我们联系


-END-

上一篇: 文献分享|页岩油气藏分析表征新技术 下一篇:冰封微观视界,解码地质本源——新生纪冷冻电镜技术开启纳米级地质分析新时代
在线咨询 咨询电话
138-7150-3845
微信订阅号
微信服务号
返回顶部